Chapitre 4 Valorisation
Ce chapitre contient les informations utiles à l’utilisation des différentes valorisations générées par l’outil de traitement. Un exemple de jeu de données généré par la fonction chronique.traitement() est téléchargeable à l’adresse suivante.
4.1 Arborescence
Un dossier Sorties est généré à partir du traitement des données par la fonction chronique.traitement(), contenant :
- le récapitulatif de l’état des capteurs associés au données fournies, issu d’un fichier lié directement exploité ou bien après importation dans la base de données ;
- le suivi de terrain relatif au données fournies, issu du fichier de suivi de terrain directement ou bien à travers la base de données ;
- les données primaires :
- sous la forme d’agrégations diverses,
- sous la forme d’un rendu dit DCE, sous la forme demandée localement par l’Agence de l’eau RMC et l’Office Français de la Biodiversité (agrégation des suivis en tant que tels avec des données stationnelles et de suivi de terrain) ;
- les résultats, ou métriques statistiques calculés par les outils de traitement ;
- les stations concernées par les données thermiques traitées, issues fichier de saisie ou issues de la base de données locale ;
- de multiples vues, annuelles, interanuelles et comparatives entre sites et/ou années.
4.2 Données
L’ensemble des données initialement apportées à l’outil de traitement sont regroupées au sein d’un unique fichier .xlsx par station.
- Les données initiales et brutes sont disponibles dans l’onglet
ValInstantanees, avec éventuellement leur statut de validation et leur mode d’acquisition (mesure ou estimation). - Une agrégation quotidienne est proposée dans l’onglet
ValJours, avec :- les valeurs minimales, médianes, moyennes et maximales, ainsi que l’amplitude en résultant,
- la variance journalière,
- le nombre de mesures disponibles pour cette date,
- la moyenne journalière cumulée à partir de la première date de la chronique. La somme des températures moyennes journalières au dessus de 0 °C, ou somme de degrés-jours (défini comme tel par Allan (1995), cité par Tissot and Souchon (2010)), permet de comprendre la physiologie des organises aquatiques. Par conséquence, la valeur moyenne journalière disponible plus haut correspond donc aux degrés-jours de cette même journée.
- Une agrégation mensuelle est proposée dans l’onglet
ValMois, avec :- les valeurs minimales, médianes, moyennes et maximales, ainsi que l’amplitude en résultant,
- la variance mensuelle,
- le nombre de mesures disponibles pour ce mois,
- la somme des degrés jours pour la période concernée.
- Une agrégation propre à l’année biologique (définie par défault au sein de la fonction
formatage.annee.biologiquecomme l’année N allant du 1er octobre de l’année N-1 au 30 septembre de l’année N) est proposée dans l’ongletValAnneeBiol, avec :- les valeurs minimales, médianes, moyennes et maximales, ainsi que l’amplitude en résultant,
- la variance mensuelle,
- le nombre de mesures disponibles pour ce mois,
- les dates et heures des valeurs instantannées minimales et maximales
- la somme des degrés jours pour la période concernée,
- les percentiles 10, 25, 50, 75, 90 et 90 diurnes (considéré de 8h00 à 18h00).
- Une agrégation sur l’ensemble de la période concernée pour la station est proposée dans l’onglet
ValComplet, avec :- les valeurs minimales, médianes, moyennes et maximales, ainsi que l’amplitude en résultant,
- la variance mensuelle,
- le nombre de mesures disponibles pour la période concernée.
4.3 Résultats - Indicateurs statistiques
Les différents indicateurs statistiques calculés sont exportés au sein du répertoire /Sorties/Résultats/ sous différents formats : .geojson, .kml et .xlsx. Un fichier Atlas_Resultats.geojson y est également disponible, ensuite utilisé pour générer les fiches atlas des résultats.
4.3.1 Définition des acronymes
Le tableau 4.1 permet d’obtenir la signification des différents acronymes utilisés pour qualifier les indicateurs statistiques calculés.
| Abréviation | Définition |
|---|---|
| Typemesure | Type de mesures de chroniques |
| DateDPeriode | Date de Début de la Période traitée |
| DateFPeriode | Date de Fin de la Période traitée |
| IntervalleMax | Intervalle de temps calculé entre DateDPeriode et DateFPeriode (en jours) |
| NbJpasOk | Nombre de Jours incomplets |
| NbJOK | Nombre de Jours complets |
| VMinI | Valeur Minimale Instantanée |
| dureeTotale | Cohérence de la durée totale |
| VMedI | Valeur Médiane Instantanée |
| VMoyI | Valeur Moyenne Instantanée |
| VMaxI | Valeur Maximale Instantanée |
| VAmpliI | Valeur de l’Amplitude Instantanée |
| VarI | Variance des valeurs Instantanées |
| NMesuresI | Nombre de mesures Instantanées |
| VMoyJMinPer | Valeur Moyenne Journalière Minimale de la Période traitée |
| DateVMoyJMinPer | Date de la Valeur Moyenne Journalière Minimale de la Période traitée |
| VMoyJMedPer | Valeur Moyenne Journalière Médiane de la Période traitée |
| VMoyJMoyPer | Valeur Moyenne Journalière Moyenne de la Période traitée |
| VMoyJMaxPer | Valeur Moyenne Journalière Maximale de la Période traitée |
| DateVMoyJMaxPer | Date de la Valeur Moyenne Journalière Minimale de la Période traitée |
| AmplitudeVMoyJPer | Valeur de l’Amplitude des Moyennes Journalières de la Période traitée |
| VarVMoyJ | Valeur de la Variance des Moyennes Journalières de la Période traitée |
| DateMoyVMaxMoy24H | Date (arrondie) de la Valeur Maximale Moyenne des 24 mesures instantanées les plus hautes |
| DateFinVMaxMoy7J | Date de Fin la Période de la Valeur Maximale Moyenne des 7 jours les plus hauts |
| NbJ | Nombre de Jours calendaires différents de la période traitée |
| VMaxMoy7J | Valeur Maximale Moyenne des 7 jours les plus hauts |
| DateDebutVMaxMoy7J | Date de Début la Période de la Valeur Maximale Moyenne des 7 jours les plus hauts |
| VMaxMoy30J | Valeur Maximale Moyenne des 30 jours les plus hauts |
| VMaxMoy24H | Valeur Maximale Moyenne des 24 mesures instantanées les plus hautes |
| DateDebutVMaxMoy30J | Date de Début la Période de la Valeur Maximale Moyenne des 30 jours les plus hauts |
| DateFinVMaxMoy30J | Date de Fin la Période de la Valeur Maximale Moyenne des 30 jours les plus hauts |
| VMinAB | Valeur Minimale pour l’Année Biologique traitée |
| DateVMinAB | Date de la Valeur Minimale pour l’Année Biologique traitée |
| VMaxAB | Valeur Maximale pour l’Année Biologique traitée |
| DateVMaxAB | Date de la Valeur Minimale pour l’Année Biologique traitée |
| Percentile10AB | Percentile 10 de l’Année Biologique traitée |
| Percentile25AB | Percentile 25 de l’Année Biologique traitée |
| Percentile50AB | Percentile 50 de l’Année Biologique traitée |
| Percentile75AB | Percentile 75 de l’Année Biologique traitée |
| Percentile90AB | Percentile 90 de l’Année Biologique traitée |
| Percentile90diurneAB | Percentile 90 des valeurs diurnes (08:00 à 18:00 inclus) de l’Année Biologique traitée |
| DureeMaxEpisodesSupN | Durée Maximale des Épisodes de valeurs consécutives Supérieures à N |
| DateDEpisodesSupN | Date de Début de l’Épisode le plus long et le plus tardif de valeurs consécutives Supérieures à N |
| DateFEpisodesSupN | Date de Fin de l’Épisode le plus long et le plus tardif de valeurs consécutives Supérieures à N |
| NbJEpisodesSup | Nombre de Jours présentant au moins un Épisode de valeurs consécutives Supérieures à N |
| NbEpisodesSupN | Nombre d’Épisodes de valeurs consécutives Supérieures à N |
| AnneeVMM | Année de la VMaxMoy30J |
| VMoyMoy30J | Valeur Moyenne Moyenne des 30 jours les plus hauts |
| DureeEpisodesSupN | Durée totale des Épisodes de valeurs consécutives Supérieures à N |
| RSTMAJ | Réseau de Suivi de la Température des Milieux Aquatiques du Jura |
| TMM30j | Température Maximale Moyenne des 30 jours les plus chauds |
4.4 Stations
Les différentes stations concernées par les données traitées sont exportés au sein du répertoire /Sorties/Stations/ sous différents formats : .geojson, .kml, .shp et .xlsx.
4.4.1 Atlas QGIS
4.4.1.1 Atlas des stations
Cet atlas s’appuie sur un modèle QGIS et sur la table de stations contenue dans le fichier
/Sorties/Stations/xxxx-xx-xx_Stations.geojson
(projection EPSG:4326).
Il sera ensuite nécessaire de modifier quelques paramètres, après avoir défini directement dans QGIS l’aspect cartographique que l’on souhaite (fond, format des points, étiquettes, etc.) :
- couche de référence pour l’atlas,
- titre de l’atlas, en bas de page,
- localisation des logos,
- localisation des fichiers image via la formule (photo de la station),
- Modification de la mise en page en fonction des goûts de chacun.
4.5 Figures
Différentes figures peuvent être générées à partir des chroniques disponibles. Ces multiples représentations permettent de s’intéresser à différentes thématiques.
4.5.1 Figures annuelles
Figure 4.1: Exemple de représentation annuelle de la Sirène à Uxelles (39) - Données FDPPMA39
Une vue synthétique d’une chronique annuelle est produite grâce à la fonction chronique.figure, dont un exemple est visible sur la figure 4.1. Cet outil permet de configurer légèrement le modèle de représentation de base, qui s’appuie sur l’enveloppe journalière observée (minimas et maximas) :
- axe temporel libre (
duree = Relatif) ou fixé (duree = Complet, comme dans cet exemple) : affichage uniquement de la chronique disponible (2 mois par exemple), ou affichage intégral sur une année complète, facilitant les comparaisons même avec des jeux de données lacunaires ; - axe des températures libre (
Ymin = NAetYmax = NA) ou fixé (Ymin = -1etYmax = 30, comme dans cet exemple) : affichage uniquement de la chronique disponible sur son enveloppe réelle de valeurs, ou affichage intégral sur une enveloppe de 0 à 30°C, facilitant les comparaisons même avec des jeux de données lacunaires ; - VMaxMoy30J (
Vmm30j = TRUE) : affichage ou non de cette valeur, avec sa répartition temporelle.
L’intégralité de ces différentes modalités sont automatiquement générées par la fonction chronique.traitement, seul le cas ici présenté en figure 4.1 est utilisé dans les fiches atlas de résultats (section 4.6.1).
4.5.2 Figures interannuelles
4.5.2.1 Courbes
Figure 4.2: Exemple de représentation interannuelle du niveau piézométrique de BRT4 - Données Natura 2000 CCPM
La fonction chronique.figure.interannuelle permet de générer, avec l’option style = "courbes" une vue comparative interannuelle des courbes des valeurs moyennes journalières. Un exemple est présenté sur la figure 4.2.
4.5.2.2 Boxplots
Figure 4.3: Exemple de représentation interannuelle de l’Ain à Bourg-de-Sirod (39) - Données DREAL BFC
Une vue synthétique de la tendance des températures des dix dernières années sur une même station semble pertinente. La fonction chronique.figure.interannuelle permet de générer ce type de figure, dont un exemple est visible sur la figure 4.3. Différents niveaux d’informations sont contenus dans celle-ci :
- pour chaque année :
- la distribution des mesures individuelles, sous forme de boxplot (
style = boxplot- distribution des quartiles et des extremums) ou sous forme d’enveloppe (style = violon- distribution continue), - le nombre de journées concernée par cette distribution annuelle,
- la moyenne journalière minimale, sous forme de point bleu,
- la moyenne journalière maximale, sous forme de point rouge,
- la VMaxMoy30J, sous forme de point orange,
- la distribution des mesures individuelles, sous forme de boxplot (
- de manière interannuelle :
- sous l’intitulé “Instant.” :
- la valeur instantanée minimale pour l’ensemble de la chronique, sous forme de point bleu, avec l’année correspondante,
- la valeur instantanée maximale pour l’ensemble de la chronique, sous forme de point rouge, avec l’année correspondante,
- sous l’intitulé “Vmm30j” :
- la VMaxMoy30J annuelle minimale pour l’ensemble de la chronique, sous forme de point bleu, avec l’année correspondante,
- la moyenne des VMaxMoy30J annuelles pour l’ensemble de la chronique, sous forme de point orange, avec l’année correspondante,
- la VMaxMoy30J annuelle maximale pour l’ensemble de la chronique, sous forme de point rouge, avec l’année correspondante
- sous l’intitulé “Instant.” :
4.5.2.3 Classes calendaires
Figure 4.4: Exemple de représentation interannuelle des classes de température du Drouvenant (39) - Données FDPPMA39
La figure 4.4 permet de représenter une valeur journalière de référence (médiane, moyenne, etc.) sous la forme de « codes à barres » annuels, grâce à la fonction chronique.figure.classescalendaires, à partir des données agrégées. On peut ainsi évaluer la variabilité d’une métrique journalière lissée au cours du temps. La même approche peut être envisagée :
- de manière pour un unique site une unique année,
- de manière intersites et/ou interannuelles,
- pour d’autres paramètres que la thermie (oxygène dissous par exemple),
- et/ou à partir d’une date initiale différente au 01/10 (début d’une année biologique).
4.5.2.4 Classes de densité
Figure 4.5: Exemple de représentation des classes de densité de mesures sur le Drouvenant en 2022 (39) - Données FDPPMA39
La figure 4.5 permet de représenter les valeurs instantannées sous la forme de diagrammes de densité, grâce à la fonction chronique.figure.classesdensite. On peut ainsi évaluer la variabilité brute au cours du temps. La même approche peut être envisagée :
- de manière pour un unique site une unique année,
- de manière intersites et/ou interannuelles,
- pour d’autres paramètres que la thermie (oxygène dissous par exemple),
- et/ou à partir d’une date initiale différente au 01/10 (début d’une année biologique),
- et/ou uniquement sur une période donnée (période estivale par exemple - juin à septembre inclus).
4.5.2.5 Cumul
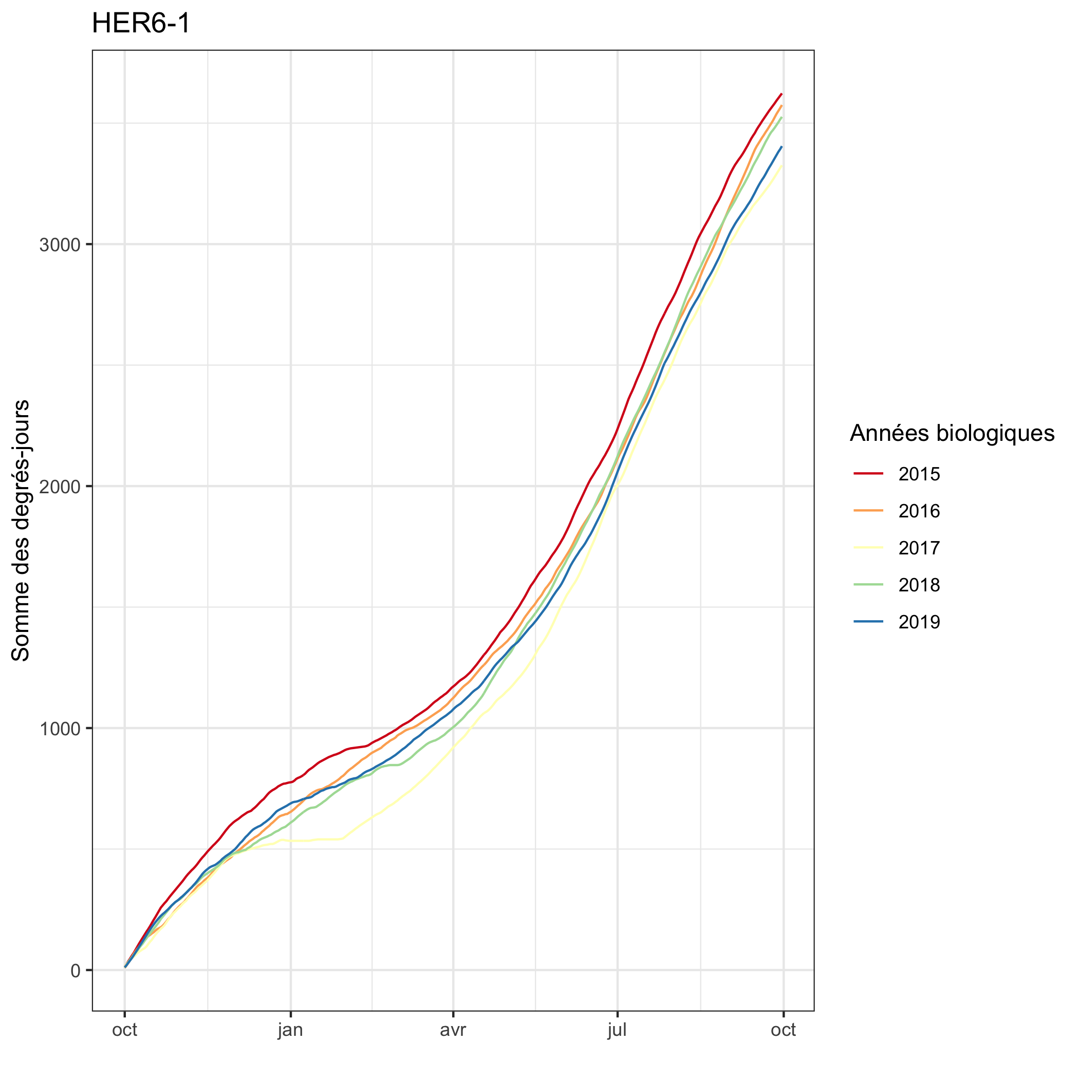
Figure 4.6: Exemple de représentation annuelle cumulée du Hérisson à Menétrux-en-Joux (39) - Données FDPPMA39
La figure 4.6 permet de représenter les courbes annuelles de cumul des degrés-jours, grâce à la fonction chronique.figure.cumul, à partir des données agrégées. Il est ainsi possible d’observer les éventuelles différences de développement pouvant survenir au cours des différentes années. La même approche peut être envisagée de manière intersites, et/ou à partir d’une date initiale différente au 01/10 (début d’une année biologique).
4.5.3 Figures intersites
Une représentation des VMaxMoy30J en fonction de la distance à la source et des années de suivi est proposée sur la figure 4.7. Les courbes ici proposées sont automatiquement générées pour chaque cours d’eau présent dans le jeu de données initial, et pour un minimum de 3 stations. Il est également possible, de manière manuelle, d’utiliser la fonction chronique.figure.longitudinale pour exploiter les résultats générés par chronique.traitement afin d’associer par exemple différents cours d’eau selon ses propres choix.
Figure 4.7: Exemple de représentation des VMaxMoy30J le long du Hérisson (39) - Données FDPPMA39
4.5.4 Figures de préférendums thermiques
Figure 4.8: Exemple de représentation de préférendums thermiques d’espèces piscicoles pour le stade de vie adulte avec une Tmm30j de 24°C
La température observée sur une station de suivi doit pouvoir être rapportée aux enjeux biologiques présents sur ce site. La fonction chronique.figure.preferendums permet de générer des représentations des plages de température de confort et de stress, dont un exemple est visible sur la figure 4.8. On peut ici observer les températures de référence admises pour le stade adulte. D’autres valeurs sont accessibles pour les stades embryon, larve, et juvénile et pour la période de reproduction (jeu de données inclus dans data(poissons_thermie_preferendums) - Tissot and Souchon (2010), J. M. Elliott (1981), J. m. Elliott, Elliott, and Allonby (1994), J. m. Elliott and Elliott (1995) & Andreasson (1971) IN Dorts et al. (2012)). Il est également possible d’y afficher ou non une valeur de VMaxMoy30J. Un affichage simultané des différents stades de vie est possible, comme sur la figure 4.9.
Figure 4.9: Exemple de représentation de préférendums thermiques d’espèces piscicoles pour tous les stades de vie avec une Tmm30j de 24°C
4.6 Résultats
4.6.1 Fiches résultats
La production semi-automatisée de fiches mises en forme des principaux résultats annuels par station est possible à partir des différentes sorties précédemment présentées (figures, indicateurs statistiques, etc.). Un exemple de fiche (recto-verso) est visible sur la figure 4.10.
Cet atlas s’appuie sur un modèle QGIS et sur la table de résultats contenue dans le fichier
/Sorties/Résultats/Atlas_Resultats.geojson
(projection EPSG:4326).
Il sera ensuite nécessaire de modifier quelques paramètres, après avoir défini directement dans QGIS l’aspect cartographique que l’on souhaite (fond, format des points, étiquettes, etc.) :
- couche de référence pour l’atlas,
- titre de l’atlas, en bas des deux pages,
- localisation des logos (sur les deux pages),
- localisation des fichiers image via la formule (vue annuelle en page 1 et vue interannuelle en page 2),
- et modification de la mise en page en fonction des goûts de chacun.
Par défaut, les représentations graphiques (vues annuelles et interannuelles) doivent être placées dans le répertoire /Desktop/Calculs_R/Atlas/Sorties/Vues/. Il faudra modifier le modèle d’atlas QGIS si une localisation différente est utilisée.
Les commentaires affichés ne doivent pas dépasser les 600 caractères.

Figure 4.10: Exemple de fiche synthétique de résultats annuels